Are you wanting to find 'dissertation classification des droits subjectifs'? Here you can find questions and answers about the issue.
Table of contents
- Dissertation classification des droits subjectifs in 2021
- Dissertation classification des droits subjectifs 02
- Dissertation classification des droits subjectifs 03
- Dissertation classification des droits subjectifs 04
- Dissertation classification des droits subjectifs 05
- Dissertation classification des droits subjectifs 06
- Dissertation classification des droits subjectifs 07
- Dissertation classification des droits subjectifs 08
Dissertation classification des droits subjectifs in 2021

Dissertation classification des droits subjectifs 02

Dissertation classification des droits subjectifs 03

Dissertation classification des droits subjectifs 04

Dissertation classification des droits subjectifs 05

Dissertation classification des droits subjectifs 06
Dissertation classification des droits subjectifs 07

Dissertation classification des droits subjectifs 08

Quelle est la théorie du droit subjectif ?
Cours de 13 pages - Droit administratif. La théorie du droit subjectif débouche directement sur la notion de sujet de droit. C’est l’aptitude à bénéficier de droit subjectif et à subir ceux des autres. Le sujet de droit est donc la personne envisagée dans sa fonction juridique.
Quel est l'objet du droit objectif ?
« Les droits subjectifs sont nés et réalisés sous l'égide du droit objectif ». Selon Cornu, l'objet du droit objectif est de délimiter les droits subjectifs. Avant tout, le droit est une notion dont on peut énoncer deux sens essentiels. Tout d'abord, le droit est un corps de règles dont l'objet est d'organiser la vie en société.
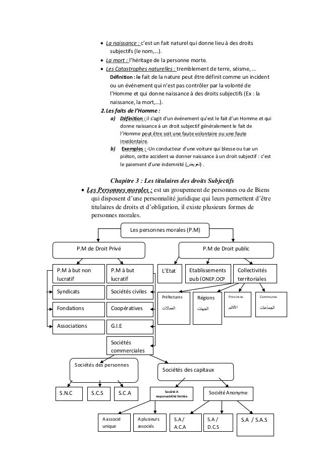
Quelle est la classification des droits subjectifs ?
On peut classer les droits subjectifs en fonction de leur objet ou en fonction de leur source. Section 1. La classification des droits en fonction de leur objet La première distinction en ce qui concerne les droits subjectifs s'attache à l'objet sur lequel porte le droit, et oppose les droits patrimoniaux (§1) aux droits extra-patrimoniaux (§2).
Quelle est la classification des droits en fonction de leur objet ?
La classification des droits en fonction de leur objet La première distinction en ce qui concerne les droits subjectifs s'attache à l'objet sur lequel porte le droit, et oppose les droits patrimoniaux (§1) aux droits extra-patrimoniaux (§2). §1. Les droits patrimoniaux
Last Update: Oct 2021